Here is a straightforward stress analysis conducted for a Destaco pneumatic clamp mounting bracket. The clamp features a clamping arm that pivots around the rotation axis under pneumatic pressure. Upon reaching its designated position, depicted in the image below, it exerts clamping torque onto the workpiece and secures its position through an internal mechanism.
In the analysis below, our focus lies in examining the impact on our structure when the clamp exerts its maximum clamping torque. By understanding the reaction force’s effect, we can subsequently design a secure mounting bracket capable of withstanding this moment.
The analysis is made in Siemens NX software.
Input values
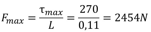
- Clamp: Destaco 82M-3E030040L8 (max. clamping torque at 5 bar, Tmax: 270Nm)
- L=110mm
The maximum force applied by clamp at L distance is:

Since the system is in equilibrium, reaction force from the clamped part is:


Setting the parameters in NX
In NX, firstly we import the CAD model and then we set the parameters. We enter the material as steel, add the the reaction force and a fix constraint at mounting surface as seen in the image.
Since we analyze the affects on the mounting bracket, we assume that the assembly of the clamping arm, the clamp body and the mounting bracket is one rigid part.
After all parameters are set, we let the NX solve the problem and give us the results.
Results
In the presented outcome, we see both the location and magnitude of the maximum stress on the bracket.
By analyzing the outcome, we can make an informed decision regarding the adequacy of the current solution. Depending on the observed stress values, we may opt to endorse the existing approach, consider increasing the material thickness, or try alternative mounting solutions.
For further analysis and design improvement ideas, please check the blog post: Case study: Design improvement based on stress analysis results in NX


